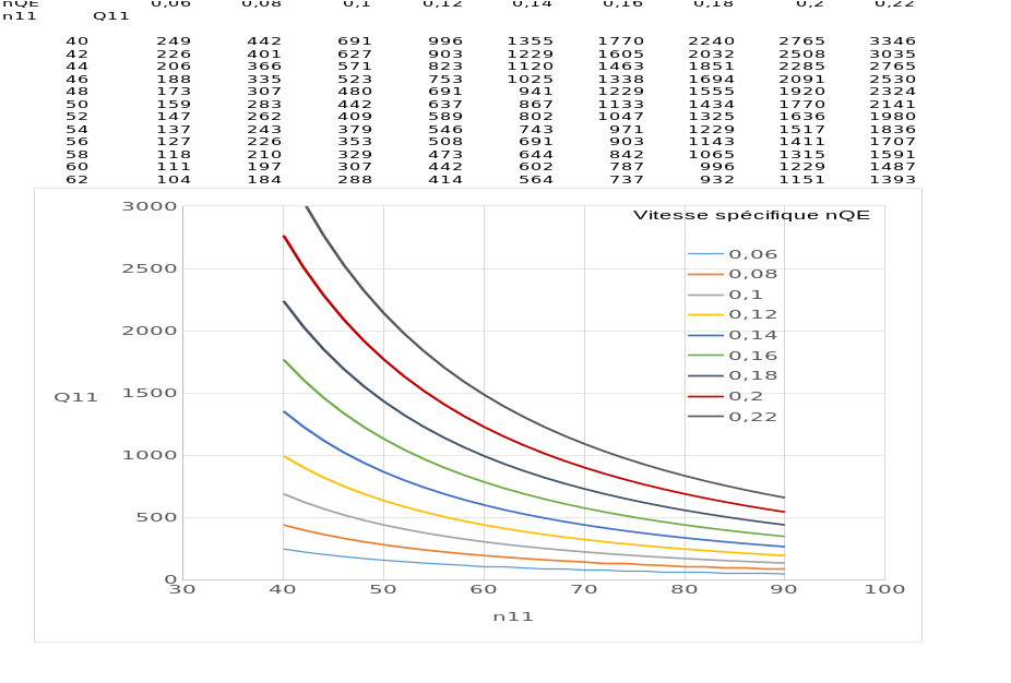
Le système n11-Q11
Définition :
C'est un système utilisé depuis fort longtemps et très répandu.
Il est facile à utiliser, par rapport aux autres systèmes car il ne fait pas appel aux constantes (\(g,2,\pi\)), ce qui diminue les calculs mais en contre partie il n'est pas adimensionnel.
Les valeurs exprimées par ce système sont pour une roue de 1 m de diamètre exploitée sous 1 m de chute :
Remarque :
On observera que ce système, quoi qu’utilisant 2 variables, ces dernières ne sont pas indépendamment couplées au débit et à la chute. L'analyse moderne des pertes qui découle de l'utilisation de la CFD s'en trouve pénalisée.
